《概率论与数理统计》课程作业与笔记归档
📖 阅读信息
阅读时间约 11 分钟 | 约 477 字 | 约 91 个公式 | 约 13 行代码
供存档和复习用。
第一次作业

i. A, B 互不相容,即 AB 无交集,也就是 A 一定在 B 的补集里面。\(P(A\bar B)=P(A)=1/2\)
ii. 由 \(P(A)=P(AB)+P(A\bar B)\) 可得 \(P(A\bar B)=3/8\)

11 取 7 排列,这个 7 字母词有两个 i 以及两个 b 可以互换都满足条件,所以
\[
P=\dfrac{2\times2}{A^7_{11}}=\dfrac{2\times2}{5\times6\times7\times8\times9\times10\times11}=\dfrac{1}{415800}
\]

我们分成四个区域

\[
P=\dfrac{B\cap (A\cup \bar B)}{A\cup \bar B}=\dfrac{\mathrm{II}}{\mathrm{I+II+IV}}=\dfrac{0.2}{0.5+0.2+0.1}=\dfrac{1}{4}
\]
第二次作业

(1)
第一次取分为两个步骤:选箱子+选零件。
\[
P(A)=\dfrac{1}{2}\times\dfrac{10}{50}+\dfrac{1}{2}\times\dfrac{18}{30}=\dfrac{2}{5}
\]
(2)
根据条件概率公式:
\[
P(B|A)=\dfrac{P(AB)}{P(A)}
\]
其中
\[
P(AB)=\dfrac{1}{2}\times\dfrac{10}{50}\times\dfrac{9}{49}+\dfrac{1}{2}\times\dfrac{18}{30}\times\dfrac{17}{29}=\dfrac{276}{1421}
\]
则
\[
P(B|A)=\dfrac{276}{1421}\times\dfrac{5}{2}=\dfrac{690}{1421}
\]

(1) 和 (2) 必然假。 \(P(AB)=P(A)P(B)=0\) 与 \(P(A)>0, P(B)>0\) 矛盾
(3) 必然假。 若 \(B\) 与 \(A\) 不相容则必然 \(P(B)<1-P(A)\),这就矛盾。
(4) 可能对。考虑随机变量 \(x\) 服从一个 \([0,1]\) 上的均匀分布。
成立的情形:
\[
P(A)=P(0<x<0.6)\\
P(B)=P(0.24<x<0.84)
\]
则 \(P(AB)=P(A)P(B)=0.36\)
不成立的情形:
\[
P(A)=P(0<x<0.6)\\
P(B)=P(0.4<x<1)
\]
则 \(P(AB)=0.2\neq P(A)P(B)=0.36\)

\[
P(B)=\underbrace{0.8\times(1-2\%)^3}_{P(BA_1)}+\underbrace{0.15\times(1-10\%)^3}_{P(BA_2)}+\underbrace{0.05\times(1-90\%)^3}_{P(BA_3)}=0.8623536\\
\]
拿 Python 算了一下数值解:
\[
\begin{align*}
P(A_1|B)=\dfrac{P(BA_1)}{P(B)}&=0.8731378868250795\\
P(A_2|B)=\dfrac{P(BA_2)}{P(B)}&=0.12680413231880752\\
P(A_3|B)=\dfrac{P(BA_3)}{P(B)}&=0.00005798085611285204\\
\end{align*}
\]
什么是随机变量:如果一个变量 \(x\) 在每一次观测时的值不能被完全先验地确定则称其为一个随机变量。
第三次作业

(1)
\[
X\sim Ge(p)\Leftrightarrow P(X=n)=p(1-p)^{n-1}
\]
也就是在前 \(n-1\) 次尝试都失败了,最后一次成功就收手。
(2)
\[
P(X=n)=C_{n-1}^{r-1} p^r(1-p)^{n-r}
\]
最后一次尝试必须成功然后收手,前面的 \(n-1\) 次尝试里面可以任意安排 \(r-1\) 次成功尝试的位置。
(3)
和 (1) 一样的几何分布。
\[
P(X=n) = p(1-p)^{n-1}
\]
由此
\[
\begin{align*}
P(x\in\mathrm{Even.})&=\sum_{i=1}^\infty P(X=2i)\\
&=p[(1-p)^1+(1-p)^3+\cdots]\\
&=p\times\dfrac{1-p}{1-(1-p)^2}\\
&=\dfrac{1-p}{2-p}
\end{align*}
\]
带入即可得到值为 \(0.3548387096774194\)

题目是要让我们用泊松分布近似二项分布。出事故的车辆数 \(X\) 满足:
\[
X\sim B(1000,0.0001)
\]
近似即
\[
X\sim Po(0.1)
\]
由泊松分布公式:\(P(x=k) =\dfrac{\lambda^k\mathrm{e}^{-\lambda}}{k!}\) 可得:
\[
\begin{align*}
P(X\ge 2)&=1-P(x=1)-P(x=0)\\
&=1-\dfrac{0.1^1\exp(-0.1)}{1!}-\dfrac{0.1^0\exp(-0.1)}{0!}\\
&=1-1.1\exp(-0.1)\\
&=0.00467884016044440
\end{align*}
\]

(1)
根据定义:
\[
\begin{align*}
P(x<2)&=F(2)=\ln 2\\
P(0<x\le 3)&=F(3)-F(0)=1\\
P(2<x<5/2)&=F(5/2)-F(2)=\ln 5-2\ln 2
\end{align*}
\]
(2)
直接求导即可:
\[
f(x)=
\begin{cases}
0,&x<1,x\ge \mathrm{e}\\
\dfrac{1}{x},&1\le x<\mathrm{e}\\
\end{cases}
\]

几何概型。成立的事件域为:
\[
\begin{align*}
(4K)^2-4\times4\times(K+2)\ge 0&\iff K^2-K-2\ge 0\\
&\iff (K-2)(K+1)\ge 0\\
&\iff K\in (2,5)
\end{align*}
\]
因此 \(P=3/5\)
第四次作业

我们直接写程序计算即可:
| from scipy import stats
# X~N(a,b^2) P(X in (M, N))
def Gaussian_prob(a, b, M, N):
return stats.norm(loc=a, scale=b).cdf(N) - stats.norm(loc=a, scale=b).cdf(M)
print(stats.norm(loc=110, scale=12).cdf(105))
print(Gaussian_prob(110, 12, 100, 120))
def f(x):
return 0.05 - (1-stats.norm(loc=110, scale=12).cdf(x))
from scipy.optimize import brentq
print(brentq(f, 70, 150))
|
计算得
\[
\begin{align*}
P(X\le 105)&=0.33846111951068963\\
P(100<X\le 120)&=0.5953432380727137\\
X&=129.73824352341765
\end{align*}
\]

我们直接写程序计算即可:
| p1=1-Gaussian_prob(120, 2, 118, 122)
p=(1-p1)**3 * p1**2 * 10
print(p)
|
得到
\[
P = 0.3203602052597432
\]

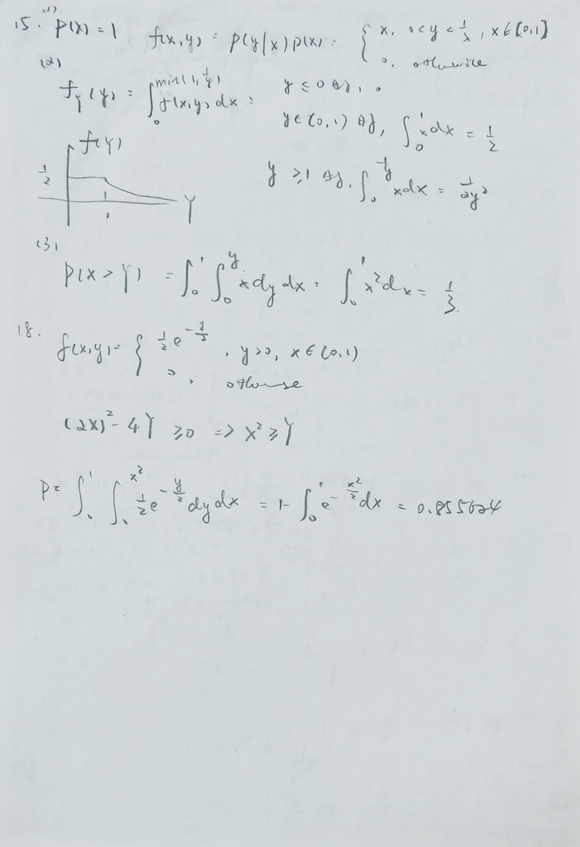
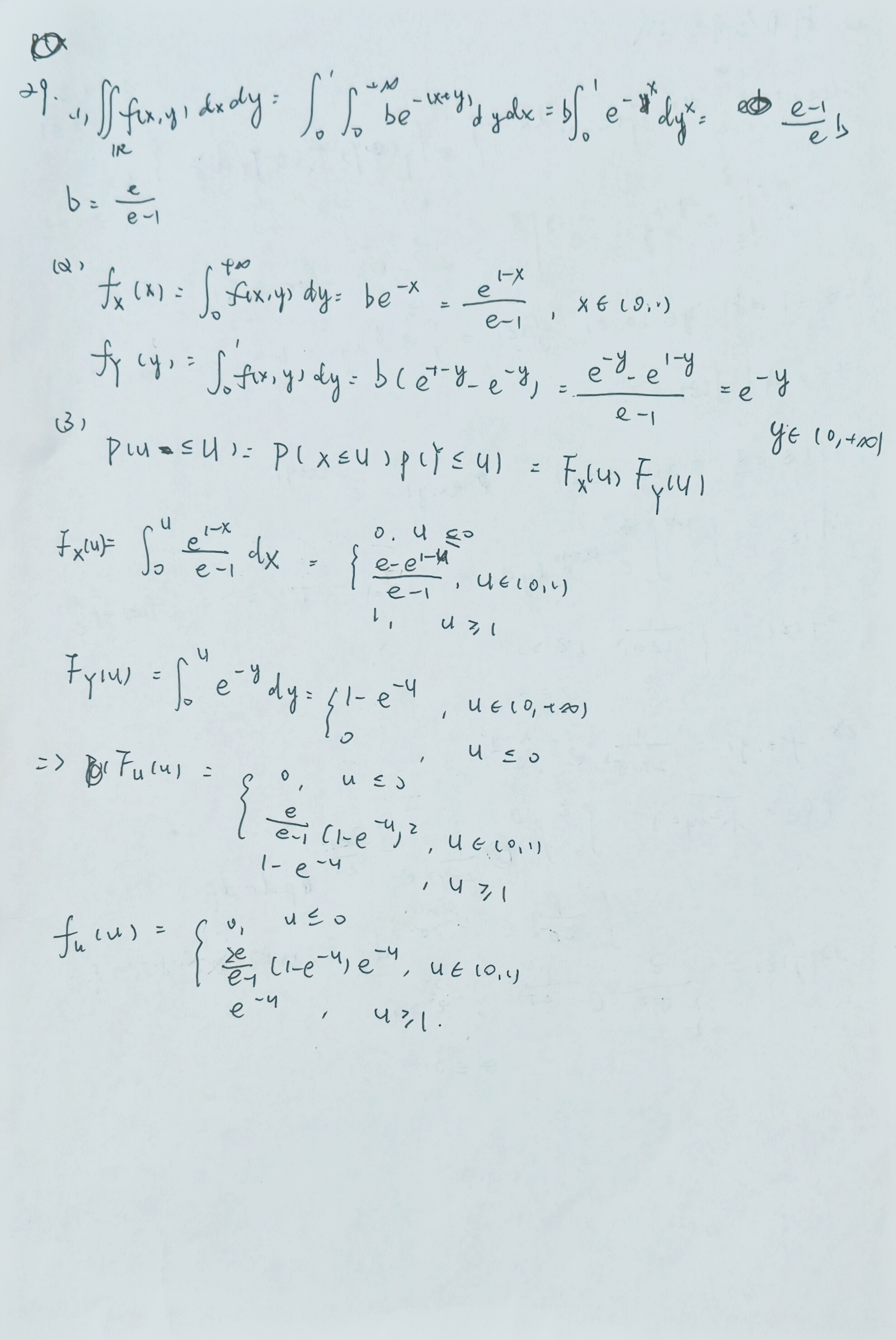
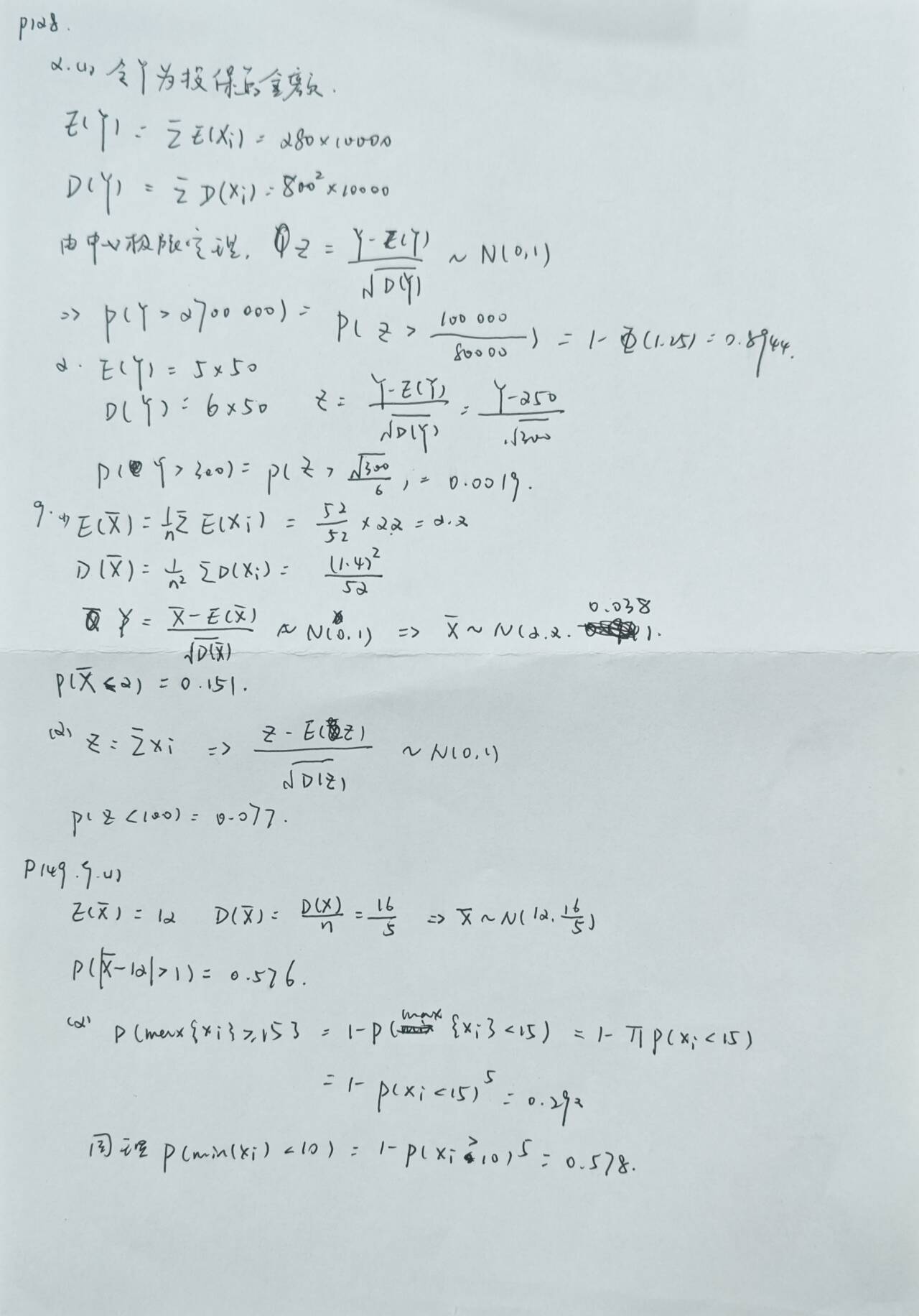
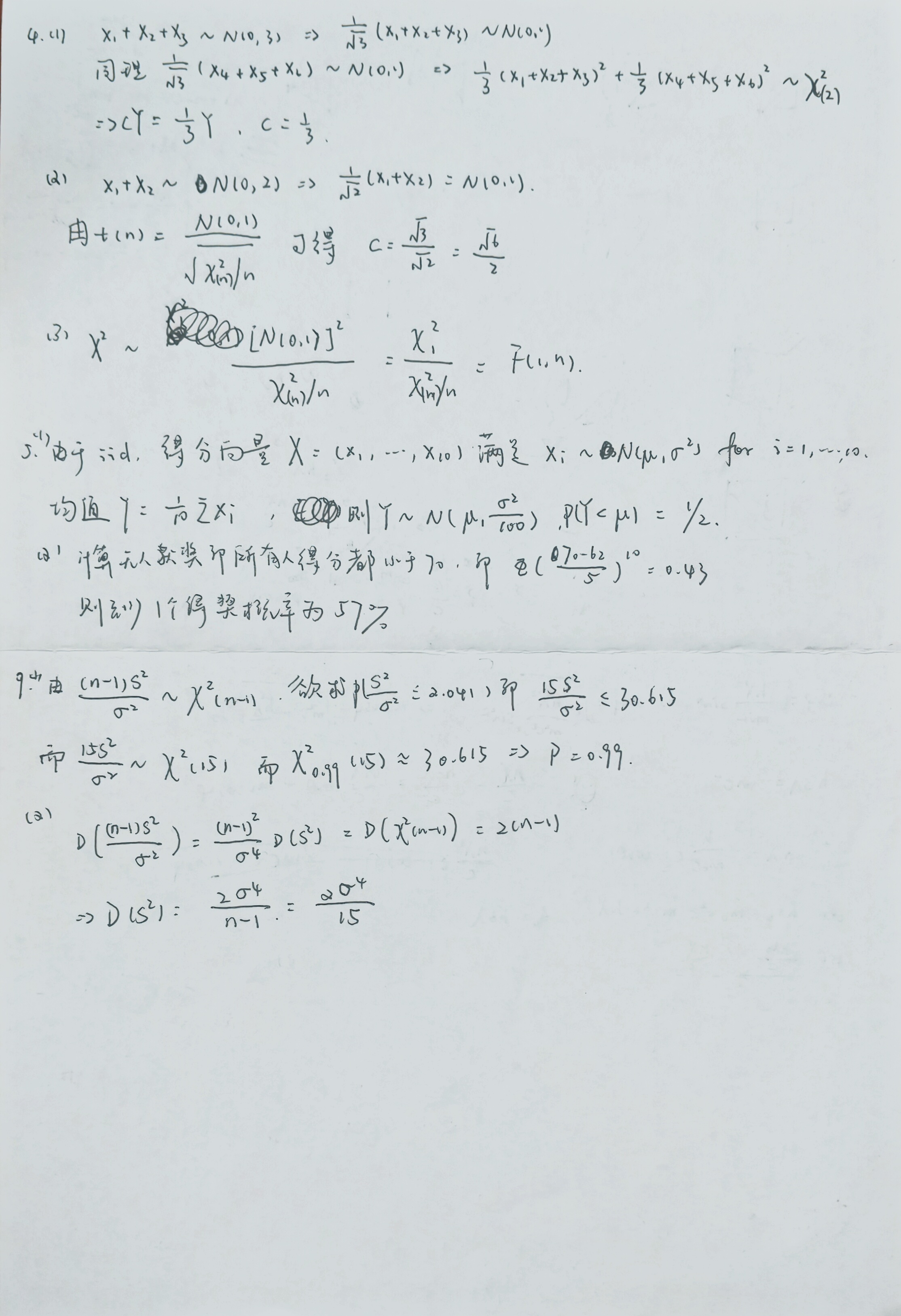
(1)
概率密度积分 \(F(X)=X,X\in (0,1)\),由 \(X=\ln Y\) 可得 \(F(Y)=\ln Y,Y\in (1,e)\),求导可得密度:
\[
P(Y)=
\begin{cases}
\dfrac{1}{Y},&Y\in(1,e)\\
0,&\mathrm{otherwise}
\end{cases}
\]
(2)
概率密度积分 \(F(X)=X,X\in (0,1)\),由 \(X=\exp(-\dfrac 12 Y)\) 可得 \(F(Y)=\exp(-\dfrac 12 Y),Y\in (0,+\infty)\),求导可得密度:
\[
P(Y)=
\begin{cases}
\dfrac 12\exp(-\dfrac 12 Y),&Y\in(0,+\infty)\\
0,&\mathrm{otherwise}
\end{cases}
\]
第五次作业

(1)
\[
C_7^4=35
\]
可列分布律如下:
|
X=0 |
X=1 |
X=2 |
X=3 |
| Y=0 |
\(0\) |
\(0\) |
\(\frac{3}{35}\) |
\(\frac{2}{35}\) |
| Y=1 |
\(0\) |
\(\frac{6}{35}\) |
\(\frac{12}{35}\) |
\(\frac{2}{35}\) |
| Y=2 |
\(\frac{1}{35}\) |
\(\frac{6}{35}\) |
\(\frac{3}{35}\) |
\(0\) |
(2)
\[
\begin{align*}
P(X>Y)&=\dfrac{1}{35}(3+2+12+2)=\dfrac{19}{35}\\
P(Y=2X)&=\dfrac{6}{35}\\
P(X+Y=3)&=\dfrac{1}{35}(6+12+2)=\dfrac{20}{35}\\
P(X<3-Y)&=\dfrac{1}{35}(3+6+1)=\dfrac{10}{35}
\end{align*}
\]

\[
6-x-y=0\implies x+y=6
\]
则需要归一化条件:
\[
\begin{align*}
\iint_{\mathbb{R}^2}f(x,y)\mathrm{d}x\mathrm{d}y&=k\int_0^2\int_2^4(6-x-y)\mathrm{d}y\mathrm{d}x\\
&=k\int_0^2 2(6-x)-6\mathrm{d}x\\
&=8k\\
&=1\\
&\implies k = \dfrac{1}{8}
\end{align*}
\]
\[
\begin{align*}
P(X<1,Y<3)&=k\int_0^1\int_2^3(6-x-y)\mathrm{d}y\mathrm{d}x\\
&=3k\\
&=\dfrac{3}{8}
\end{align*}
\]
\[
\begin{align*}
P(X<1.5)&=k\int_0^\frac{3}{2}\int_2^4(6-x-y)\mathrm{d}y\mathrm{d}x\\
&=\dfrac{27}{4}k\\
&=\dfrac{27}{32}
\end{align*}
\]
\[
\begin{align*}
P(X+Y\le 4)&=k\int_0^2\int_2^{4-x}(6-x-y)\mathrm{d}y\mathrm{d}x\\
&=(\dfrac{8}{6}+4)k\\
&=\dfrac{2}{3}
\end{align*}
\]

枚举结果并计数即可。
|
X=0 |
X=1 |
X=2 |
| Y=0 |
\(\frac{1}{8}\) |
\(0\) |
\(0\) |
| Y=1 |
\(\frac{1}{8}\) |
\(\frac{1}{4}\) |
\(0\) |
| Y=2 |
\(0\) |
\(\frac{1}{4}\) |
\(\frac{1}{8}\) |
| Y=3 |
\(0\) |
\(0\) |
\(\frac{1}{8}\) |
|
X=0 |
X=1 |
X=2 |
| P |
\(\frac{1}{4}\) |
\(\frac{1}{2}\) |
\(\frac{1}{4}\) |
|
Y=0 |
Y=1 |
Y=2 |
Y=3 |
| P |
\(\frac{1}{8}\) |
\(\frac{3}{8}\) |
\(\frac{3}{8}\) |
\(\frac{1}{8}\) |

\[
\begin{align*}
\iint_{\mathbb{R}^2}f(x,y)\mathrm{d}x\mathrm{d}y&=c\int_{-1}^1\int^1_{x^2}x^2y\mathrm{d}y\mathrm{d}x\\
&=c\int_{-1}^1 \frac{1}{2}x^2(1-x^4)\mathrm{d}x\\
&=\dfrac{4}{21}c\\
&=1\\
&\implies c = \dfrac{21}{4}
\end{align*}
\]
\[
\begin{align*}
P(x)&=c\int_{x^2}^1x^2y\mathrm{d}y=c\frac{1}{2}x^2(1-x^4)\\
\implies P(x)&=\
\begin{cases}
\frac{21}{8}x^2(1-x^4),&x\in[-1,1]\\
0,&\mathrm{otherwise}
\end{cases}
\end{align*}
\]
\[
\begin{align*}
P(y)&=c\int_{-\sqrt y}^{\sqrt{y}}x^2y\mathrm{d}y=c\frac{2}{3}y^{\frac{5}{2}}\\
\implies P(y)&=\
\begin{cases}
\frac{7}{2}y^{\frac{5}{2}},&y\in[0,1]\\
0,&\mathrm{otherwise}
\end{cases}
\end{align*}
\]
第六次


第七次


第八次

第九次


第十次

第十一次

第十二次

📝 如果您需要引用本文
Yan Li. (Dec. 8, 2025). 《概率论与数理统计》课程作业与笔记归档 [Blog post]. Retrieved from https://dicaeopolis.github.io/campus-sources/Prob_Stats_assignments
在 BibTeX 格式中:
| @online{Prob_Stats_assignments,
title={《概率论与数理统计》课程作业与笔记归档},
author={Yan Li},
year={2025},
month={Dec},
url={\url{https://dicaeopolis.github.io/campus-sources/Prob_Stats_assignments}},
}
|