《大学物理B下》课程作业与笔记归档¶
📖 阅读信息
阅读时间约 1 分钟 | 约 139 字 | 没有代码,请放心食用
笔记相对少,以作业归档居多。
供存档和复习用。
第一次作业¶








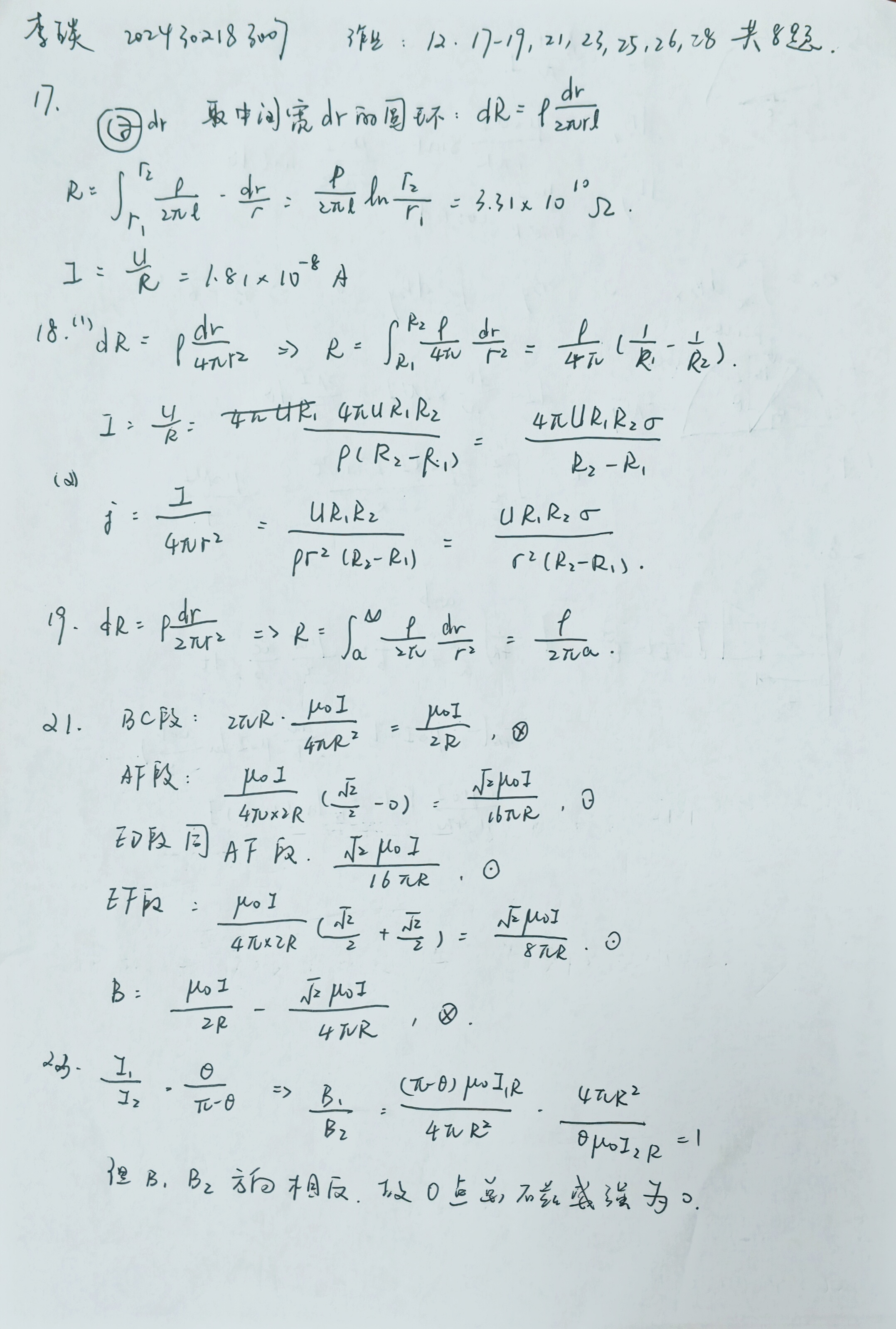
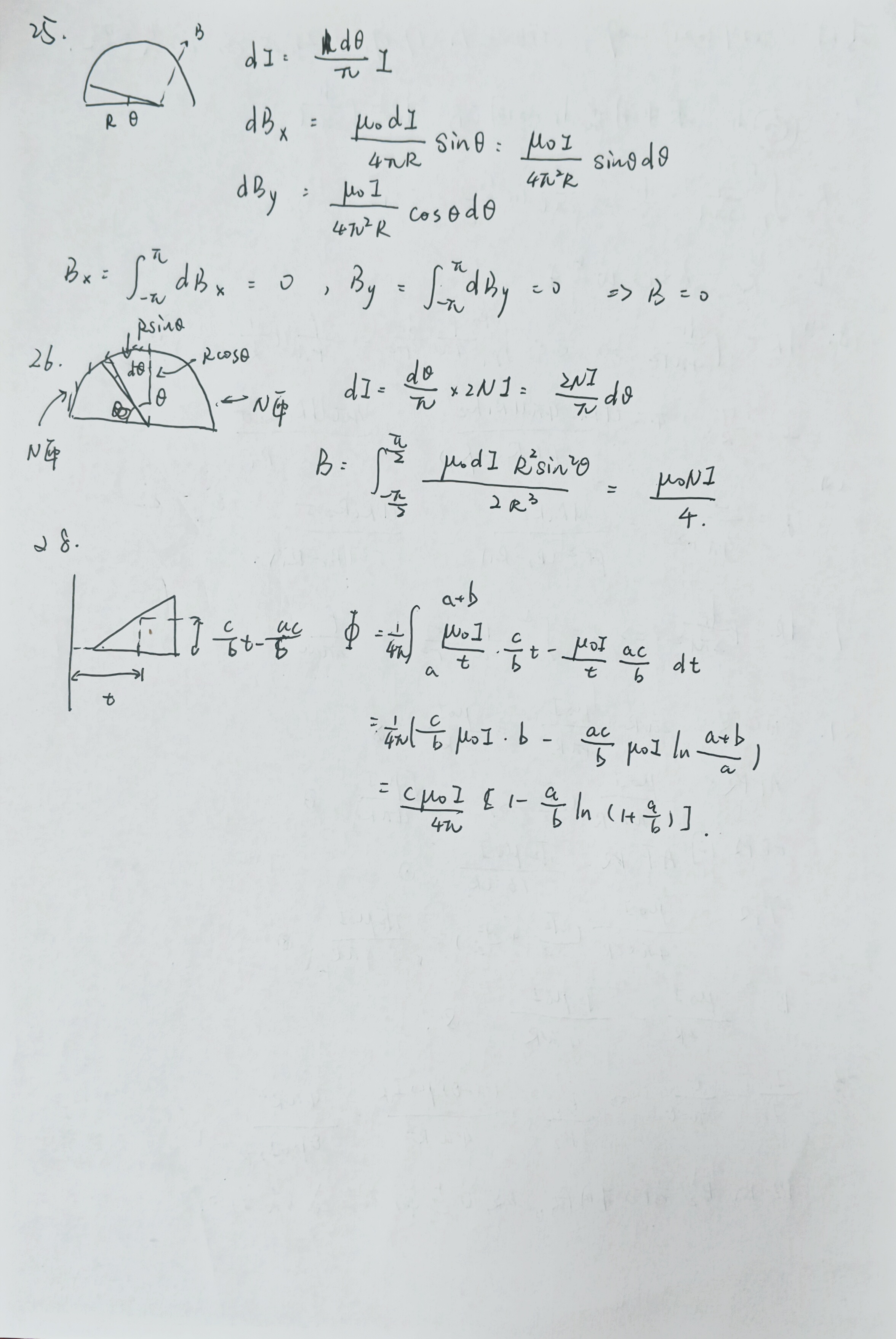
第二次作业¶








第三次作业¶
任务:推导载流线圈的磁矩力矩。

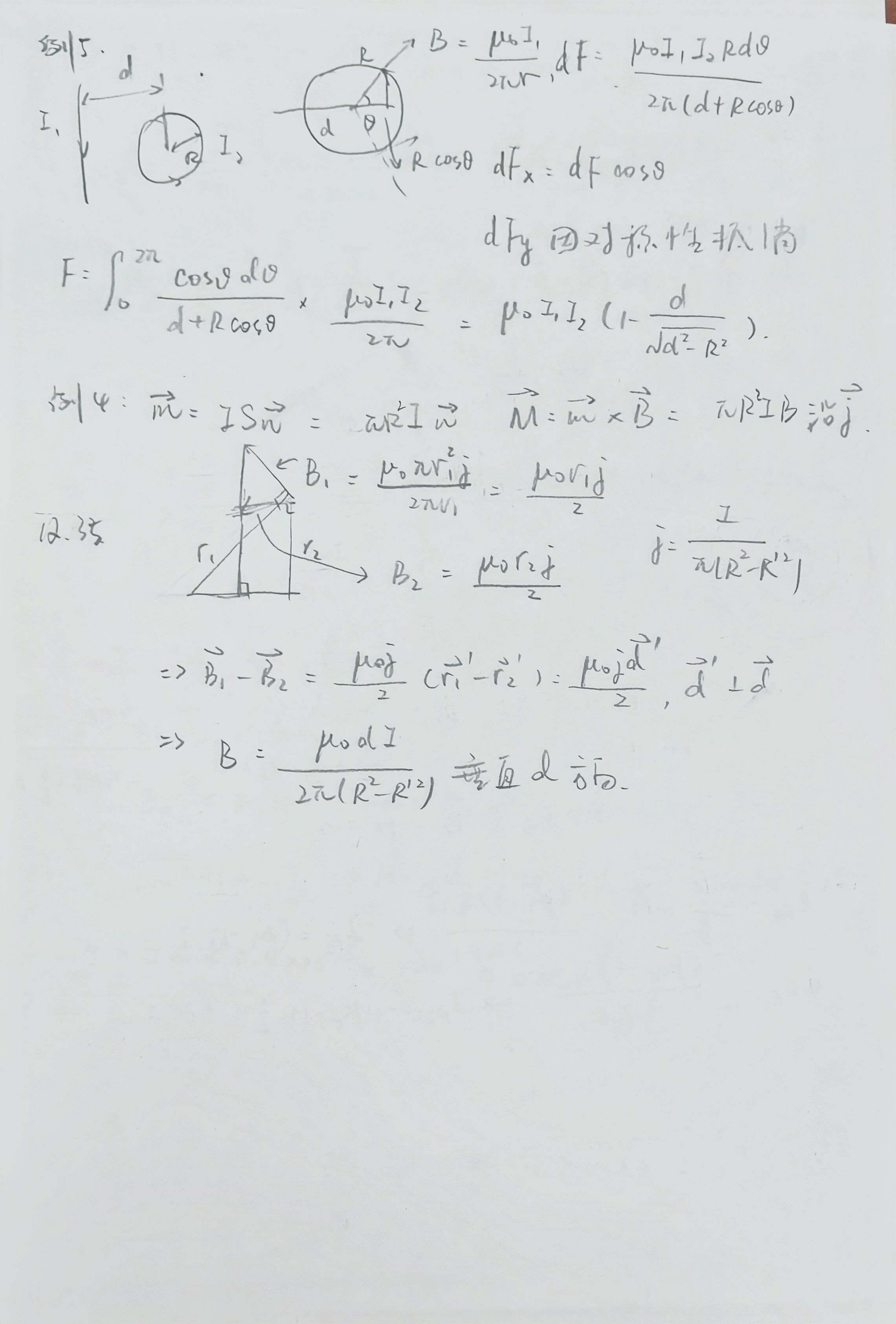
第四次作业¶
补充习题¶
需要参考的例题:12.1 例 (6) 磁偶极矩前面,例 4 载流带,例 5 载流板。
例 2 圆棒绕端点转动形成磁矩,最后旋转直筒内部磁场
12.2 P13 例题;12.3 无;12.5 例 2(P7)例 3,例 4,例 5,P22 例 4















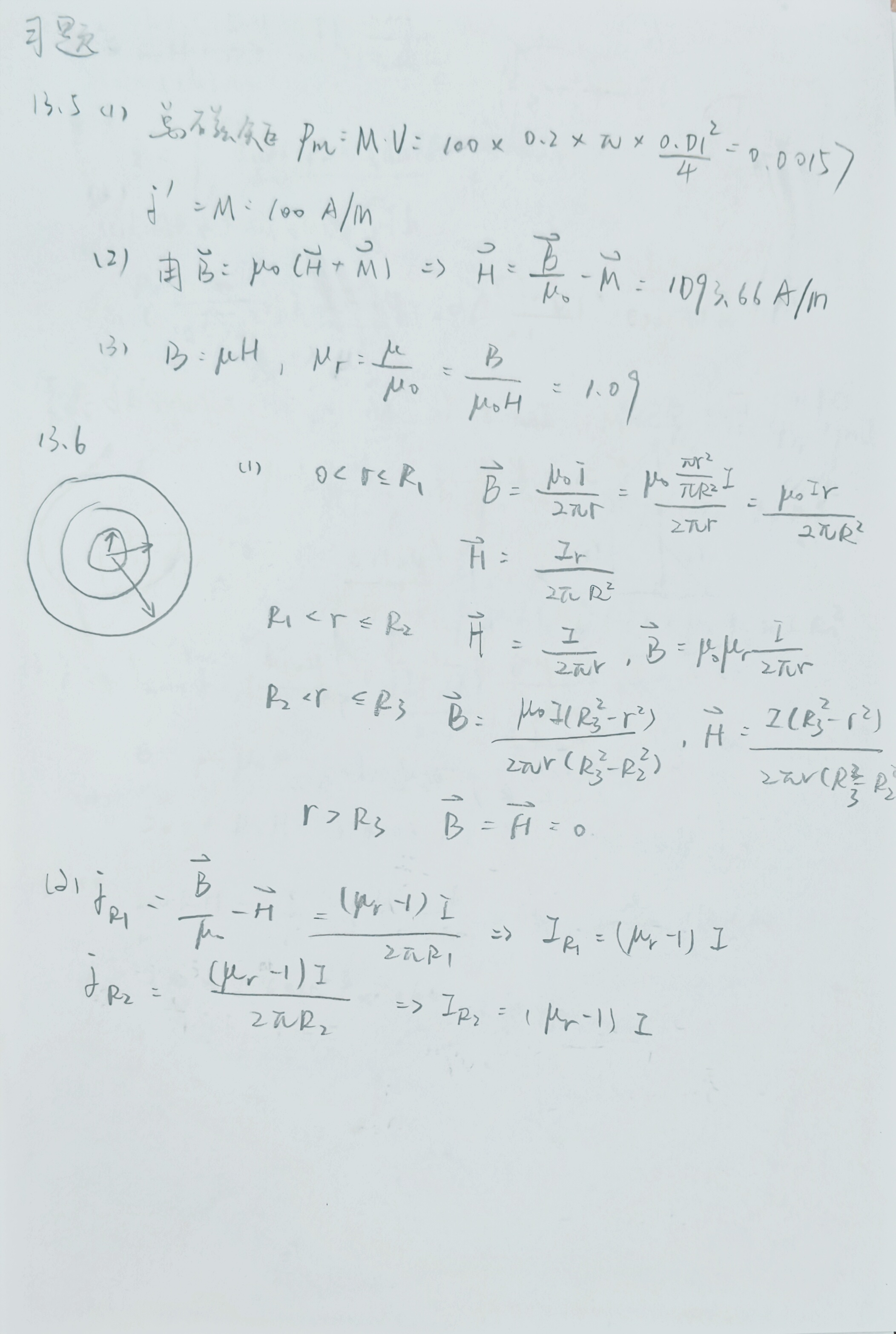
习题¶













第五次作业¶



第六次作业¶

第八次作业¶

📝 如果您需要引用本文
Yan Li. (Dec. 1, 2025). 《大学物理B下》课程作业与笔记归档 [Blog post]. Retrieved from https://dicaeopolis.github.io/campus-sources/PU_Bii_assignments
在 BibTeX 格式中: